پیام خود را بنویسید
دوره 13، شماره 4 - ( زمستان 1402 )                   جلد 13 شماره 4 صفحات 527-508 | برگشت به فهرست نسخه ها


XML English Abstract Print


Download citation:
BibTeX | RIS | EndNote | Medlars | ProCite | Reference Manager | RefWorks
Send citation to:

Samia J, Ranjbar Shoubi M, Nikpour A. Spatial-Temporal Analysis of Road Accidents in Haraz Road Using Spatial Statistics and Geographical Information System. Disaster Prev. Manag. Know. 2024; 13 (4) :508-527
URL: http://dpmk.ir/article-1-633-fa.html
سمیعا جلال، رنجبر شوبی منوچهر، نیک پور عامر. تحلیل مکانی-زمانی تصادفات جاده ای در محور مواصلاتی هراز با استفاده از شاخص های آمار مکانی و سیستم اطلاعات جغرافیایی. دانش پیشگیری و مدیریت بحران. 1402; 13 (4) :508-527

URL: http://dpmk.ir/article-1-633-fa.html


1- گروه جغرافیا و برنامه ریزی شهری، دانشگاه مازندران، بابلسر، ایران.
متن کامل [PDF 11111 kb]   (992 دریافت)     |   چکیده (HTML)  (2523 مشاهده)
متن کامل:   (1555 مشاهده)
مقدمه
وقوع تصادفات جاده‌ای به‌دلیل تبعاتی مانند تهدید جان انسان‌ها، مصدومیت و معلولیت، آثار منفی اقتصادی و همچنین تبعات جبران‌ناپذیر روانی و اجتماعی (حسنی و همکاران، 1398: 59) به‌عنوان یک چالش جهانی برای کشورها و دولت‌ها مخصوصاً چالشی برای سلامت عمومی و توسعه اقتصادی‌اجتماعی در کشورهای در حال توسعه به حساب می‌آید. طبق آمار سازمان بهداشت جهانی، تقریبا 1/3 میلیون نفر همه ساله بر اثر وقوع تصادفات جاده‌ای دچار مصدومیت شده و یا جان خود را از دست می‌دهند (سازمان بهداشت جهانی، 2018: 1). همچنین بر‌اساس گزارش سازمان بهداشت جهانی، 93 درصد مرگ‌و‌میر ناشی از تصادفات جاده‌ای در کشورهای با درآمد کم تا متوسط به‌وقوع می‌پیوندد و تقریباً خسارات اقتصادی معادل 3 درصد ارزش تولید ناخالص دولتی این کشورها را شامل می‌شود (گوریا، 2016: 2). روند وقوع تصادفات جاده‌ای در جهان به‌دلیل رشد جمعیت، تحولات موجود در زیرساخت‌ها و گسترش شبکه‌های حمل‌و‌نقل و همچنین استفاده روز‌افزون از وسایل نقلیه، در حال افزایش است.
در کشور ما نیز به دلیل افزایش جمعیت و گسترش زیرساخت‌های مرتبط با حمل‌و‌نقل و همچنین افزایش تعداد خودرو، استفاده از خودرو به‌عنوان مهم‌ترین وسیله حمل‌و‌نقل گسترش چشمگیری داشته است که ضمن فراهم آوردن سطح رفاهی مطلوب برای افراد جامعه دارای عواقب جانی، اقتصادی و روانی و اجتماعی در اثر وقوع تصادفات است. در این زمینه و براساس آمار یونیسف، مرگ‌و‌میر ناشی از وقوع تصادفات جاده‌ای در ایران معادل 20 برابر میانگین جهانی است (بهادری و همکاران، 2010: 336). همچنین بر‌اساس اطلاعات تصادفات برون‌شهری مرکز آمار ایران، در بازه زمانی بین سال‌های 1385 تا 1393 در کشور، تقریباً بیش از 5 میلیون تصادف جاده‌ای رخ داده که در آن بیش از 130 هزار نفر متأسفانه فوت شده و بیش از 2 میلیون نفر دچار مصدومیت شده‌اند. 
در‌زمینه دلایل وقوع تصادفات جاده‌ای‌، عوامل انسانی همچون سرعت بیش از اندازه، خطا و بی‌دقتی رانندگان، رانندگی تحت شرایط نامطلوب روانی، عدم رعایت نکات ایمنی مانند استفاده از کمربند ایمنی، عدم تمرکز به دلیل استفاده از تلفن همراه‌، زیرساخت‌های حمل‌و‌نقل فاقد ایمنی، مانند کیفیت پایین جاده‌ها و فقدان علائم راهنمایی مناسب، وسائل نقلیه فاقد ایمنی و استانداردهای لازم، عدم امداد‌رسانی فوری به هنگام وقوع تصادف و کمبود قوانین اجرایی مرتبط با حمل‌و‌نقل جاده‌ای نقش بسزایی دارند (الویک و همکاران، 2013: 254؛ وینتر و همکاران، 2010: 463؛ ساخاری و همکاران، 2017: 2). همچنین نقش عوامل طبیعی و مخاطرات محیطی نظیر شرایط نامطلوب آب‌و‌هوایی (افشاری آزاد، 1387: 10)، وقوع رانش زمین در محورهای کوهستانی و سیل می‌تواند خطر ریسک وقوع تصادفات جاده‌ای را به شکل قابل‌ملاحظه‌ای افزایش دهد (پتروا، 2011: 55؛ برگل حیات و همکاران، 2013: 457؛ اسمیت و همکاران، 1982: 105؛ آلخانو، 2008: 1252). بنابراین به دلیل تبعات منفی جانی، اقتصادی و اجتماعی ناشی از وقوع تصادفات جاده‌ای لازم است تا راهکارهای پیشگیرانه مناسبی در نظر گرفته شود تا میزان آسیب‌ها و خسارات ناشی از آن کاهش پیدا کند. در این زمینه و از‌نظر زیر‌ساختی، فرهنگ‌سازی و آموزش، به‌کارگیری قوانین مناسب راهنمایی و رانندگی، دخالت مؤثر پلیس راهنمایی و رانندگی با اجرای قوانین صریح و قاطع و همچنین طراحی و اجرای علمی و اصولی زیرساخت‌ها و شبکه‌های حمل‌و‌نقل (جهانگیر و همکاران، 1399: 940) به‌منظور فراهم آوردن بستر مناسب حمل‌و‌نقل می‌تواند به کاهش وقوع تصادفات جاده‌ای منجر شود. از‌نظر برنامه‌ریزی و مدیریت علمی حمل‌و‌نقل جاده‌ای، احتمال فراوانی وقوع، شدت و تبعات ناشی از وقوع تصادفات جاده‌ای می‌تواند با استفاده از تجزیه‌وتحلیل‌های آماری (ساولینین و همکاران، 2011: 1667)، تجزیه‌و‌تحلیل‌های مکانی‌زمانی تصادفات جاده‌ای (پراسانکومار و همکاران، 2011: 318)، مدل‌سازی و پیش‌بینی سناریوهای مختلف وقوع تصادفات و حوادث جاده‌ای (دوبلین و همکاران، 2014: 1394؛ حکیم و همکاران، 1991: 380) مورد بررسی و ارزیابی قرار گیرد. 
علاوه‌بر‌این، استفاده از قابلیت‌های سیستم اطلاعات جغرافیایی در جهت جمع‌آوری، ذخیره و نمایش گرافیکی ترافیک جاده‌ای و داده‌های تصادفات، تجریه‌و‌تحلیل، مدل‌سازی و پیش‌بینی وقوع تصادفات جاده‌ای می‌تواند بستری اساسی در جهت برنامه‌ریزی و اتخاد تصمیمات مناسب برای افزایش ایمنی و کاهش وقوع تصادفات جاده‌ای فراهم آورد (استفان و همکاران، 2018: 3455؛ شاهزاد و همکاران، 2020: 473؛ ساتریا و همکاران، 2016: 243). همچنین با استفاده از فناوری سیستم اطلاعات جغرافیایی ضمن نمایش اطلاعات مرتبط با توزیع مکانی و زمانی تصادفات جاده‌ای، امکان ارزیابی جامع عوامل مؤثر و مرتبط با وقوع، پراکنش و توزیع تصادفات، وابستگی مکانی تصادفات، تجزیه‌و‌تحلیل‌های تراکم و نقاط حاد حادثه‌خیز تصادفات جاده‌ای فراهم می‌آید (وانگ و همکاران، 2021: 2؛ اندرسون و همکاران، 2007: 56؛ آقاجانی و همکاران، 2017: 2127). در این زمینه، استفاده از سیستم اطلاعات جغرافیایی در کشورهایی نظیر استرالیا، بلژیک و دانمارک منجر به کاهش 30 درصدی وقوع تصادفات مرگ‌بار جاده‌ای شده است (ایسلام و همکاران، 2022: 2). 
پژوهش حاضر تلاش دارد با استفاده از قابلیت‌های سیستم اطلاعات جغرافیایی و شاخص‌های آمار مکانی، تجزیه‌و‌تحلیلهای مکانی‌زمانی مرتبط با توزیع و تراکم تصادفات جاده‌ای و ارزیابی نقاط حاد حادثه‌خیز در محور هراز به‌عنوان یکی از مهم‌ترین و خطرناک‌ترین راه‌های مواصلاتی کشور را ارائه دهد. از جنبه‌های نوآورانه پژوهش حاضر نسبت به پژوهش‌های مشابه صورت‌گرفته، انجام تجزیه‌و‌تحلیل مکانی‌زمانی توزیع تراکم تصادفات جاده‌ای و همچنین بررسی تغییر‌پذیری مکانی‌زمانی نقاط حاد حادثه‌خیز است (صیدایی و همکاران، 1399: 943؛ زینلی و همکاران، 1394: 26). 
مطالعه و ارزیابی توزیع تراکم تصادفات و همچنین شناسایی قسمت‌های حاد و خطرناک از‌نظر وقوع تصادفات جاده‌ای در این محور به نوبه خود می‌تواند به‌عنوان اطلاعات پایه و مبنا در جهت برنامه‌ریزی و تصمیم‌گیری در ارتباط با انجام اقدامات اصلاحی فنی، ساختاری و قانونی در‌زمینه مدیریت ترافیک و سوانح جاده‌ای و همچنین آگاهی مسافران در قسمت‌های مختلف محور هراز مورد استفاده قرار بگیرد. 

منطقه مورد مطالعه و داده‌های مورد استفاده
استان مازندران به دلیل موقعیت مکانی استراتژیک و اهمیت توریستی همه‌ساله پذیرای میلیون‌ها گردشگر از سایر قسمت‌های کشور و جهان است و از‌نظر حمل‌و‌نقل جاده‌ای در محورهای ارتباطی اصلی از تردد و حجم ترافیک بالایی برخوردار است. همان‌طور که در مقدمه تحقیق بیان شد، این حجم بالای تردد مسافران و ترافیک در محورهای اصلی استان به دلیل وجود خطاهای انسانی، شرایط آب‌و‌هوایی و زمین‌شناسی و همچنین کوهستانی بودن، زمینه را برای وقوع فراوان تصادفات جاده‌ای فراهم می‌آورد. 
در این تحقیق منطقه مورد‌مطالعه، محور مواصلاتی هراز (جاده 77) در استان مازندران است که به دلیل اتصال استان مازندران از شهرستان آمل به پایتخت از اهمیت قابل‌ملاحظه‌ای برخوردار است (تصویر شماره 1). محور هراز به طول تقریبی 185 کیلومتر به‌عنوان مهم‌ترین و کوتاه‌ترین مسیر ارتباطی از استان مازندران به تهران به شمار می‌آید. این محور مواصلاتی، به دلیل وجود قابلیت‌های توریستی و چشم‌اندازهای متنوع طبیعی نظیر قله دماوند، رودخانه هراز ، چشم اندازهای زمین‌شناسی متنوع، وجود آبشارها و چشمه‌های آب معدنی گرم و سرد در تمامی فصول و روزهای سال از تردد و ترافیک بالایی برخوردار است. بر‌اساس اطلاعات آماری ارائه‌شده توسط مدیر کل سازمان پزشکی قانونی استان مازندران، در بازه زمانی سال‌های 1385 تا 1393، 570 نفر در اثر وقوع تصادفات جاده‌ای در محور هراز جان خود را از دست داده‌اند. به دلیل وقوع فراوان تصادفات جاده‌ای و همچنین وقوع مخاطرات مختلف طبیعی نظیر سقوط بهمن و ریزش قطعات سنگی، محور هراز به‌عنوان یکی از خطرناک‌ترین جاده‌های کشور به شمار می‌آید.



داده‌های مورد‌استفاده در این تحقیق با استفاده از مطالعات میدانی و برداشت موقعیت جغرافیایی تصادفات در امتداد محور هراز توسط سازمان امداد و نجات جمعیت هلال احمر ایران با استفاده از سیستم موقعیت‌یاب جهانی جمع‌آوری شده است. اطلاعات برداشت‌شده شامل موقعیت طول و عرض جغرافیایی تصادفات، شرح جزئیات وقوع تصادفات، تاریخ و زمان وقوع تصادفات، نام پایگاه عامل امداد و نجات، نام مناطقی که در آن حادثه به وقوع پیوسته، تعداد افراد حادثه‌دیده و فوت‌شده در بازه زمانی 5 ساله از تاریخ اول فروردین 1395 تا 28 اسفند 1399 است.

روش
در این تحقیق، با استفاده از قابلیت‌های سیستم اطلاعات جغرافیایی و شاخص‌های آمار مکانی، تحلیل مکانی‌زمانی وقوع تصادفات جاده‌ای در محور هراز مورد‌مطالعه قرار گرفته است. بدین منظور ابتدا با استفاده از روش تخمین تراکم کرنل (سیلورمن، 1986؛ ژی و همکاران 2008) موقعیت مکانی تراکم تصادفات در امتداد محور هراز به‌صورت گرافیکی نمایش داده شده و سپس با استفاده از تحلیل نقاط حاد حادثه‌خیز (خرتس و همکاران، 2003: 10)، مناطق ویژه و حاد با پتانسیل بالای خطر ریسک وقوع تصادفات شناسایی و سطح معنی‌داری آماری آن‌ها با استفاده از شاخص آماری Getis-Ord Gi* (سیپوس، 2017: 10) ارزیابی و طبقه‌بندی شده است.

تخمین تراکم کرنل 
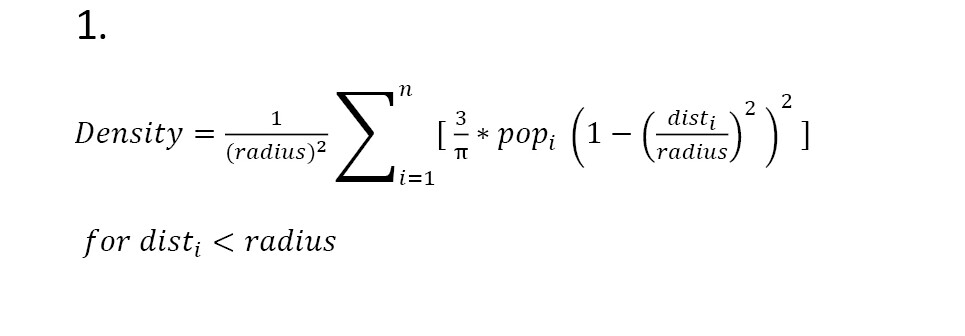
تابع تراکم کرنل به‌منظور تخمین و برآورد تراکم عوارض مکانی نقطه‌ای و خطی در یک فاصله مشخصی از همسایگی با عوارض مکانی در واحد سطح مورد استفاده قرار می‌گیرد (فرمول شماره 1). برای تخمین تراکم عوارض، یک تابع منحنی هموار بر روی تمامی نقاط و یا خطوط مکانی مورد‌نظر بر‌اساس فواصل همسایگی و با شعاع‌های مختلف جست‌وجو اعمال خواهد شد. تراکم محاسبه‌شده در تابع تخمین کرنل در واحد سطح است که بیشترین مقدار آن روی نقاط و یا خطوط خواهد بود و به‌تدریج با افزایش فاصله از نقاط و یا خطوط مقدار تراکم کاهش پیدا خواهد کرد. به‌طوری‌که در حداکثر شعاع همسایگی مقدار تراکم صفر خواهد شد. برای برآورد تراکم تصادفات جاده‌ای فرمول شماره 1مورد استفاده قرار گرفته است.



که در آنI‌= 1, 2, …n  نشان‌دهنده موقعیت مکانی تصادفات در فاصله و شعاع همسایگی مشخص‌، disti فاصله بین نقطه تصادف i و موقعیت سایر نقاط تصادفات، radius فاصله و شعاع همسایگی، popi تعداد تصادفات و Density نشان‌دهنده تراکم است. در این مقاله، تابع تخمین تراکم کرنل به‌منظور تخمین و برآورد تراکم مکانی‌زمانی تصادفات جاده‌ای در بازه زمانی 1395 تا 1399 در محور هراز مورد استفاده قرار گرفته که در آن تغییر‌پذیری مکانی‌زمانی میزان تراکم تصادفات جاده‌ای مورد ارزیابی قرار گرفته است.

تحلیل نقاط حاد حادثه‌خیز 
در روش تحلیل نقاط حاد حادثه‌خیز، خوشه‌های مکانی تصادفات با سطح معنی‌داری بالا به‌عنوان نقاط حاد ارزیابی و خوشه‌های مکانی با سطح معنی‌داری پایین به‌عنوان نقاط با پتانسیل ریسک وقوع کم تصادفات شناسایی می‌شوند. در این روش، ارزیابی سطح معنی‌داری با استفاده از شاخص‌های آماری P-value (مقدار احتمالاتی)، z-score (نمره استاندارد) و سطوح اطمینان (Gi-bin) محاسبه می‌شود. در این زمینه، مقادیر مثبت و زیاد z-score و مقادیر کم P-value نشان‌دهنده خوشه‌بندی مکانی و تجمع تصادفات در نقاط حاد حادثه‌خیز و مقادیر منفی z-score با مقادیر کم P-value نشان‌دهنده احتمال کم وجود خوشه‌های مکانی تصادفات است. مقادیر z-score نزدیک به صفر، نشان‌دهنده عدم وجود خوشه‌های مکانی و تصادفی بودن توزیع عوارض مکانی و وقوع تصادفات است. همچنین مقادیر محاسبه‌شده در شاخص Gi-bin سطح معنی‌داری آماری خوشه‌های مکانی شناسایی‌شده را نشان می‌دهد که در آن Gi-bin‌=‌+/-3 سطح اطمینان 99 درصد، Gi-bin‌=‌+/-2 سطح اطمینان 95 درصد،Gi-bin‌=‌+/-1  سطح اطمینان 90 درصد و Gi-bin‌=‌0 از‌نظر آماری فاقد سطوح معنی‌دار است و نشان‌دهنده توزیع و پراکنش تصادفی عوارض جغرافیایی است. برای ارزیابی نقاط حاد حادثه‌خیز تصادفات در محور هراز و محاسبه شاخص آمار مکانی Getis-Ord Gi* فرمول شماره 2 استفاده شده است.



که در آن، xj مقدار ویژگی برای عارضه جغرافیایی مورد نظر j، wi,j وزن مکانی بین عوارض جغرافیایی i و j ،n تعداد کل تصادفات می‌باشد. با استفاده از این تابع، تحلیل نقاط حاد حادثه خیز در محور هراز بر اساس موقعیت مکانی‌زمانی مجموع تصادفات در بازه زمانی 1395 تا 1399 و همچنین برای هر یک از سالهای 1395 تا 1399 انجام شده شاخصهای آماری P-value، z-score و Gi-bin محاسبه شده است. 

یافته‌ها 

تحلیل آماری داده‌های تصادفات در محور هراز

 در بازه زمانی 5 ساله از سال 1395 تا سال 1399، 742 مورد تصادف در محور هراز به وقوع پیوسته که بیشترین تعداد تصادف در سال 1397 با 237 مورد و کمترین تعداد تصادف در سال 1399 با 48 مورد بوده است (جدول شماره 1). همچنین در این بازه زمانی، 1538 نفر در اثر وقوع تصادفات جاده‌ای دچار مصدومیت شده و 91 نفر متأسفانه جان خود را از دست داده‌اند (جدول شماره 1). بیشترین تعداد افراد مصدوم و فوتی مرتبط با سال 1397 بوده که به ترتیب 31 و 26 درصد و کمترین تعداد افراد مصدوم و فوتی در سال 1399 به ترتیب با 6 و 9 درصد بوده است (جدول شماره 1).



روند نزولی تعداد تصادفات، مصدومین و فوتی از سال 1395 تا 1399 نشان می‌دهد که در سال‌های 1398 و 1399 وقوع بحران همه‌گیری کرونا و منع مسافرت سراسری، نقش عمده‌ای در کاهش تردد، حجم ترافیک و وقوع تصادفات در محور هراز داشته است. از‌نظر توزیع زمانی فصلی تصادفات جاده‌ای در محور هراز، فصل‌های تابستان و بهار با 203 و 202 تصادف، بیشترین و فصل پاییز با 158 تصادف کمترین تعداد تصادفات جاده‌ای را در بازه زمانی 5 ساله 1395 تا 1399 به خود اختصاص داده اند (جدول شماره 2).



همچنین فراوانی آمار مصدومین حوادث جاده‌ای در فصول مختلف نشان می‌دهد فصل تابستان بیشترین درصد فراوانی و فصل زمستان کمترین درصد فراوانی مصدومین را به ترتیب با 27 و 23 درصد به خود اختصاص داده‌اند. در‌حالی‌که فصل بهار با 32 درصد و فصل زمستان با 12 درصد، بیشترین و کمترین درصد فراوانی افراد فوت‌شده در اثر وقوع تصادفات جاده‌ای در محور هراز را به خود اختصاص داده‌اند (تصویر شماره 2). فراوانی بالای تصادفات در فصل تابستان می‌تواند به دلیل ایام تعطیلات دانش‌آموزی و دانشگاهی و استفاده از این فرصت جهت مسافرت توسط خانواده‌ها برای بازدید از مناطق توریستی استان مازندران نظیر دریای خزر باشد. همچنین استفاده افراد بومی از مناطق ییلاقی موجود در محور هراز در فصل تابستان نیز می‌تواند نقش مؤثری در افزایش حجم تردد و ترافیک و افزایش احتمال وقوع تصادفات جاده‌ای ایفا کند. فراوانی بالای تصادفات جاده‌ای در فصل بهار در محور هراز می‌تواند نشان‌دهنده نقش مؤثر عوامل اقلیمی در وقوع تصادفات جاده‌ای باشد (نظم فر و همکاران، 1396: 85). شرایط نامناسب اقلیمی، مانند وقوع بارندگی‌های بهاره و همچنین روان‌آب‌های حاصل از ذوب برف در محور کوهستانی هراز می‌تواند عامل مهمی در افزایش وقوع تصادفات جاده‌ای در فصل بهار باشد. علاوه‌بر‌این، بارندگی‌های بهاره می‌تواند موجب تحریک و ناپایداری دامنه‌های کوهستانی مستعد زمین، لغزش و ریزش قطعات سنگی در محور هراز شود (محمدی و همکاران، 1400: 19) که به نوبه خود می‌تواند در وقوع تصادفات جاده‌ای نقش مؤثری داشته باشد. در این زمینه بسیاری از دامنه‌های کوهستانی محور هراز، شامل سازندهای زمین‌شناسی مستعد زمین‌لغزش نظیر سازند شمشک است که تحت تأثیر عوامل تحریک‌کننده نظیر بارندگی و زلزله منجر به وقوع زمین‌لغزش و ریزش قطعات سنگی می‌شود (دهقان فاروجی و همکاران 1401: 38). 



 نتایج حاصل از آنالیز واریانس یک‌طرفه نشان داده است اختلاف معنی‌داری بین میانگین تعداد افراد مصدوم‌شده در بازه زمانی 1395 تا 1399 و همچنین میانگین تعداد افراد فوت‌شده در این بازه زمانی وجود ندارد (P=0/94 و P=0/7). همچنین نتایج آنالیز واریانس یک‌طرفه در توزیع فصلی افراد مصدوم و فوتی نشان می‌دهد اختلاف معنی‌داری بین میانگین افراد فوت‌شده در فصل‌های بهار، تابستان، پاییز و زمستان در بازه زمانی 1395 تا 1399 وجود ندارد (‌P‌=0/33)، در‌حالی‌که بین میانگین افراد مصدوم‌شده در فصول مختلف سال اختلاف معنی‌داری وجود دارد ( P‌=0/04). 

تحلیل مکانی‌زمانی تصادفات جاده‌ای با استفاده از تراکم کرنل
نتایج حاصل از اعمال تابع تخمین تراکم کرنل بر روی موقعیت مکانی‌زمانی تصادفات نشان می‌دهد در قسمت‌هایی از محور هراز، تراکم تصادفات بیشتر از سایر قسمت‌ها است (تصویر‌های شماره 3 تا 5). منطقه پنجاب تا کهرود در بازه زمانی 1395 تا 1399 دارای بیشترین مقدار تراکم تصادفات بوده (11 تا 20 مورد تصادف در هر کیلومتر مربع) و نشان‌دهنده خطرناک‌ترین منطقه در محور هراز از‌نظر وقوع تصادفات جاده‌ای است (تصویر شماره 5‌، ج). همچنین الگوی مکانی‌زمانی تراکم تصادفات نشان می‌دهد که سال 1395 با دارا بودن بیشترین مقدار تراکم تصادفات جاده‌ای در 3 منطقه کهرود پایین، گزنک و پلور نسبت به سال‌های 1396 تا 1399، شامل بیشترین مناطق خطرناک از‌نظر تراکم وقوع تصادفات جاده‌ای است (تصویر شماره 3، الف). در‌حالی‌که الگوی مکانی‌زمانی تراکم تصادفات در بازه زمانی بین سال‌های 1396 تا 1399 نشان‌دهنده تراکم بالای تصادفات فقط در منطقه کهرود پایین است و 2 منطقه دیگر گزنک و پلور در کلاس‌های با تراکم متوسط و کم تصادفات جاده‌ای قرار گرفته‌اند (تصویر‌های شماره 3، ب؛ 4، پ؛ 4، ت و 5‌ ث).



 در سال‌های 1398 و 1399 که به دلیل وقوع بحران همه‌گیری کرونا محور هراز از تردد و حجم ترافیک کمتری برخوردار بوده و از کمترین مقدار تصادف نسبت به سال‌های 1395 تا 1397برخوردار بوده نیز منطقه کهرود پایین به‌عنوان مهم‌ترین منطقه از‌نظر تراکم تصادفات جاده‌ای انتخاب شده است (تصویر شماره 4، ت و تصویر شماره 5، ث).



علاوه‌بر‌این، تابع تخمین کرنل اعمال‌شده بر روی مجموع تصادفات در بازه زمانی 5 ساله نشان‌دهنده وجود تراکم خیلی زیاد تصادف در منطقه کهرود پایین است (تصویر شماره 5، ج). 



نتایج به‌دست‌آمده از اعمال تابع تخمین کرنل بر روی داده‌های تصادفات، نشان‌دهنده تغییر‌پذیری میانگین تراکم تصادفات جاده‌ای در کلاس‌های با تراکم خیلی زیاد تا متوسط تصادفات در امتداد محور هراز در بازه زمانی 1395 تا 1399 است (تصویر شماره 6). بر‌این‌اساس، سال‌های 1397 و 1399 به ترتیب با میانگین تراکم تصادفات 2/44 و 0/36 در هرکیلومتر مربع دارای بیشترین و کمترین مقدار تراکم تصادفات جاده‌ای در محور هراز هستند. در این زمینه، نتایج آنالیز واریانس یک‌طرفه بر روی میانگین تراکم تصادفات جاده‌ای نیز نشان داده است که از‌نظر آماری اختلاف معناداری بین میانگین تراکم تصادفات جاده‌ای در بازه زمانی 5 ساله بین کلاس‌های تراکم خیلی کم تا خیلی زیاد وجود دارد (0/00 =P‌). تراکم پایین تصادفات جاده‌ای در سال‌های 1398 و 1399 می‌تواند به دلیل بحران کرونا و عدم مسافرت توسط گردشگران سراسر کشور به استان مازندران و همچنین افراد بومی شهرستان آمل جهت استفاده از مناطق ییلاقی موجود در امتداد محور هراز باشد. در این زمینه، جمع‌آوری آمار تصادفات از سال‌های 1400 به بعد و تجزیه‌وتحلیل آن‌ها می‌تواند جهت بررسی و تعیین روند احتمالی صعودی و یا نزولی تراکم تصادفات بعد از پایان همه‌گیری کرونا مورد استفاده قرار بگیرد.



علاوه‌بر‌این، تغییرات طول جاده در کلاس‌های مختلف تراکم تصادفات بر‌اساس نتایج حاصل از اعمال تابع تخمین کرنل نشان می‌دهد میانگین طول جاده در بازه زمانی 5 ساله 1395 تا 1399، به مقدار تقریبی 8 کیلومتر شامل تراکم خیلی زیاد و زیاد تصادفات جاده‌ای است. همچنین، تقریباً 7 کیلومتر از محور هراز دارای تراکم متوسط تصادفات جاده‌ای و بیش از 90 کیلومتر از طول محور هراز شامل تراکم خیلی کم و کم تصادفات جاده‌ای است (جدول شماره 3 و تصویر شماره 7). بنابراین، بخش‌هایی از محور هراز که در آن تراکم، تصادفات بالا است، می‌بایستی مورد توجه و برنامه‌ریزی توسط سازمان‌هایی نظیر سازمان حمل‌و‌نقل و ترافیک جاده‌ای، اداره کل راه و شهرسازی استان مازندران، پایگاه‌های امداد و نجات، اورژانس و پلیس راهنمایی و رانندگی در جهت انجام اقدامات لازم برای کاهش تصادفات قرار گیرد.







تحلیل مکانی‌زمانی تصادفات جاده‌ای با استفاده از تحلیل نقاط حاد حادثه‌خیز
نتایج استفاده از شاخص آمار مکانی Getis-Ord Gi* در روش تحلیل مکانی‌زمانی نقاط حاد حادثه‌خیز بر روی مجموع تصادفات جاده‌ای در بازه زمانی 5 ساله 1395 تا 1399 نشان می‌دهد در 4 قسمت از محور هراز که شامل مناطق پنجاب، کهرود پایین، گزنک و پلور است، خوشه‌های مکانی تصادفات به‌عنوان نقاط حاد حادثه‌خیز شناسایی شده که از‌نظر آماری با مقادیر میانگین Z-score = 4.49 ،P-value = 0.001 ،Gi-bin > 0 و سطح اطمینان 90 تا 99 درصد، معنی‌دار هستند (تصویر شماره 10، ج و جدول شماره 4). طول محور هراز در خوشه‌های مکانی تصادفات شناسایی‌شده به‌طور تقریبی 6 کیلومتر است که شامل 42 درصد از تصادفات به‌وقوع‌پیوسته در محور هراز در بازه زمانی 5 ساله است (جدول شماره 4). 
 همچنین نتایج حاصل از تحلیل مکانی‌زمانی سالانه نقاط حاد حادثه‌خیز نشان می‌دهد که در سال 1395، 4 خوشه مکانی تصادفات در منطقه‌های پنجاب، کهرود پایین، گزنک و پلور به طول تقریبی 9 کیلومتر با مقادیر میانگین Z-score = 4.43 ،P-value < 0.05 ،Gi-bin > 0 و سطح اطمینان 90 تا 99 درصد  شناسایی شده است که شامل 52 درصد از تصادفات رخ‌داده در سال 1395 است (تصویر شماره 8، الف و جدول شماره 4).



علاوه‌بر‌این، در سال 1396 نیز همان 4 خوشه مکانی تصادفات شناسایی‌شده در سال 1395، شناسایی شده که مجدداً شامل 52 درصد تصادفات رخ‌داده است، ولی طول جاده در این خوشه‌ها به طور تقریبی 1 کیلومتر کاهش پیدا کرده است (تصویر شماره 8، ب و جدول شماره 4). مهم‌تر اینکه، در طول زمان و از سال 1396 به بعد، تعداد خوشه‌های مکانی تصادفات، درصد تصادفات به‌وقوع‌پیوسته و همچنین طول جاده در خوشه‌های مکانی تصادفات شناسایی‌شده به نحو چشمگیری کاهش پیدا کرده است. به‌طوری‌که در سال 1399، فقط 1 خوشه مکانی تصادفات در منطقه کهرود پایین با 35 درصد تصادفات رخ‌داده به طول تقریبی 2 کیلومتر شناسایی شده است (تصویر شماره 9، پ و ت؛ تصویر شماره 10 ث و جدول شماره 4‌). 







کاهش تعداد خوشه‌های مکانی تصادفات و به تبع آن کاهش طول جاده در مناطق حاد حادثه‌خیز در سال‌های 1398 و 1399 می‌تواند نشان‌دهنده تأثیر اپیدمی کرونا بر روی کاهش مسافرت گردشگران به مناطق شمالی کشور باشد. همچنین موقعیت مکانی خوشه‌های تصادفات شناسایی‌شده با استفاده از شاخص آماری Getis-Ord Gi* منطبق بر مناطق با تراکم بالای تصادفات جاده‌ای به‌دست‌آمده در روش تخمین تراکم کرنل است (تصویرهای شماره 3 تا 5 و 8 تا 11).






همچنین نتایج آنالیز واریانس یک‌طرفه بر روی مقادیر Z-score در خوشه‌های مکانی تصادفات شناسایی‌شده در بازه زمانی 1395-1399 نشان می‌دهد که از‌نظر آماری، میان میانگین مقادیر Z-score تغییرپذیری معنا‌داری وجود دارد (P<0/05) (تصویر شماره 12). 



بحث ونتیجه‌گیری
شکل‌گیری خوشه‌های مکانی تصادفات در امتداد محور هراز می‌تواند به دلایل مختلفی همچون وجود جاده‌های فرعی انحرافی، عدم وجود عرض کافی در قسمت‌هایی از محور و همچنین شرایط آب‌و‌هوایی و وجود مخاطرات محیطی نظیر وقوع زمین‌لغزش و ریزش قطعات سنگی باشد که نیازمند بررسی در مطالعات آینده است. به‌عنوان مثال، هر 4 خوشه مکانی تصادفات شناسایی‌شده در مناطق پنجاب، کهرود پایین، گزنک و پلور در محل اتصال محور اصلی هراز به جاده‌های فرعی انحرافی جهت دستیابی به روستاهای ییلاقی قرار دارند (تصویر شماره 13). علاوه‌بر‌این، خوشه مکانی تصادف شناسایی‌شده در منطقه پنجاب و کهرود پایین به دلیل وجود سازند شمشک از‌نظر زمین‌شناسی مستعد وقوع زمین لغزش و ریزش قطعات سنگی است که می‌تواند نقش مؤثری در بروز سوانح جاده‌ای ایفا کند (دهقان فاروجی و همکاران 1401: 38). همچنین احتمالاً، وجود خوشه مکانی تصادف در منطقه‌های گزنک و پلور نیز می‌تواند به دلایلی همچون عرض پایین جاده و همچنین وجود راه‌های فرعی انحرافی جهت دسترسی به مناطق توریستی نظیر آب گرم لاریجان، قله دماوند، دشت و سد لار و همچنین مناطق ییلاقی توریستی نظیر روستاهای نیاک، نوا و پلور باشد. بنابراین مطالعات آینده می‌تواند نقش و تأثیر هر‌کدام از این عوامل را در تشکیل خوشه‌های مکانی تصادفات مورد بررسی قرار دهد. البته می‌بایستی تأکید شود که نقش عوامل انسانی نظیر عدم تمرکز و بی‌دقتی رانندگان در وقوع تصادفات جاده‌ای انکار‌ناپذیر است که در ترکیب با عوامل ذکرشده می‌تواند در شکل‌گیری خوشه‌های مکانی تصادفات نقش داشته باشد. بنابراین فرهنگ‌سازی، آموزش، آگاهی‌بخشی نسبت به وجود مناطق پرخطر و همچنین وجود و اجرای قوانین بازدارنده راهنمایی و رانندگی می‌تواند نقش مؤثری در کاهش وقوع تصادفات جاده‌ای بر اثر خطاهای انسانی ایفا کند.



خوشه‌های مکانی تصادفات شناسایی‌شده در امتداد جاده هراز می‌توانند نقش قابل‌ملاحظه‌ای در مراحل مختلف مدیریت بحران سوانح و حوادث جاده‌ای ایفا کنند. در فاز پیشگیری مدیریت بحران، خوشه‌های مکانی تصادفات شناسایی‌شده می‌توانند جهت بررسی و مطالعه عوامل مؤثر در بروز تصادفات جاده‌ای مورد استفاده قرار بگیرند. شناخت و شناسایی عوامل مؤثر در وقوع تصادفات جاده‌ای از قبیل عوامل انسانی، وضعیت زیرساختی و هندسی جاده، عوامل اقلیمی، توپوگرافی و زمین‌شناسی در خوشه‌های مکانی تصادفات می‌تواند نقش مؤثری در کاهش وقوع تصادفات جاده‌ای ایفا کند. به‌عنوان نمونه، افزایش آگاهی، اطلاع‌رسانی و هشداردهی مناسب با علائم و تابلوهای راهنمایی به مسافران، بهبود کیفیت زیرساختی جاده، استفاده از دیوارهای حائل به‌منظور محافظت از وقوع رانش و زمین‌لغزش می‌تواند باعث کاهش وقوع تصادفات بشود. در کنار موارد مذکور، استقرار پایگاه‌های امداد و نجات و اورژانس در خوشه‌های مکانی تصادفات شناسایی‌شده و یا نزدیکی آن‌ها می‌تواند نقش مؤثری در فازهای آماده‌سازی و واکنش مدیریت بحران در ارائه سریع خدمات اورژانسی و درمانی به هنگام وقوع تصادفات جاده‌ای داشته باشد.
نکته قابل‌توجه دیگر در نتایج به‌دست‌آمده در روش تحلیل مکانی‌زمانی نقاط حاد حادثه‌خیز، عدم شناسایی و وجود نقاط با ریسک پایین خطر وقوع تصادفات در طول محور هراز در بازه زمانی 5 ساله 1395 تا 1399 است (Gi-bin < 0) (تصویرهای شماره 8 تا 10). در این رابطه، به‌طور میانگین و با مقدار تقریبی 119 کیلومتر از طول محور هراز، نقاط حاد پر‌خطر و نقاط کم‌خطر وجود ندارد که نشان‌دهنده تصادفی بودن وقوع تصادفات جاده‌ای در این بازه طولی است (Z-score‌=‌-0/33 و P= 0/5 و Gi-Bin = 0). در این زمینه، بسیاری از بخش‌های محور هراز به‌خصوص از شهر آمل تا منطقه پنجاب به دلیل گسترش زیرساختار حمل‌و‌نقل، تعریض جاده و همچنین 4 بانده شدن مسیر، از کیفیت مناسبی جهت تردد وسایل نقلیه برخوردار است که می‌تواند یکی از مهم‌ترین دلایل عدم وقوع فراوان تصادفات و تشکیل خوشه‌های مکانی تصادفات مخصوصاً در این قسمت از محور هراز باشد.
در قسمت‌هایی از محور مواصلاتی استراتژیک و توریستی هراز در استان مازندران تراکم توزیع تصادفات جاده‌ای نسبت به سایر قسمت‌ها زیادتر بوده و چندین خوشه مکانی تصادفات در بازه زمانی 1395 تا 1399 شناسایی شده است. نتایج حاصل از اعمال تابع برآورد تراکم کرنل نشان داده است که در بازه زمانی 5 ساله، تقریباً 8 کیومتر از محور هراز دارای بالاترین مقدار تراکم تصادفات جاده‌ای است و منطقه پنجاب تا کهرود پایین به‌عنوان خطرناک‌ترین منطقه از‌نظر تراکم بالای تصادفات جاده‌ای شناسایی شده است. همچنین نتایج حاصل از تحلیل نقاط حاد حادثه‌خیز نیز منطبق بر نتایج به‌دست‌آمده از روش تابع تخمین کرنل است که در آن در مناطقی همچون کهرود پایین، پنجاب، گزنک و پلور خوشه‌های مکانی تصادفات به طول تقریبی 6 کیلومتر که شامل 42 درصد تصادفات جاده‌ای در بازه زمانی 5 ساله است، شناسایی شده است. روند کاهشی مکانی‌زمانی تراکم تصادفات و همچنین طول جاده در خوشه‌های مکانی تصادفات شناسایی‌شده در بازه زمانی 5 ساله می‌تواند نشان‌دهنده توجه سازمان‌های مرتبط با حمل‌و‌نقل و ترافیک جاده‌ای نسبت به مناطق پرخطر از‌نظر وقوع تصادفات جاده‌ای و انجام اقدامات ساختاری، قانونی و آموزشی در جهت کاهش وقوع تصادفات جاده‌ای در محور هراز باشد.

ملاحظات اخلاقی

پیروی از اصول اخلاق پژوهش

تمامی اصول اخلاقی در این مقاله رعایت شده است.

حامی مالی
این مقاله حامی مالی نداشته است.

مشارکت نویسندگان
طراحی ساحتار مقاله، انجام روش تحقیق و تفسیر نتایج: جلال سمیعا؛ جمع‌آوری داده‌ها و اجرای بخشی از روش تحقیق: منوچهر رنجبر شوبی؛ بازنگری نهایی: عامر نیک‌پور.

تعارض منافع
بنابر اظهار نویسندگان این مقاله تعارض منافع ندارد.

تشکر و قدردانی
نویسندگان این مقاله از سازمان امداد و نجات جمعیت هلال احمر استان مازندران به خاطر فراهم آوردن آمار تصادفات جاده‌ای در محور هراز نهایت تشکر را دارند.




 
References

Afshari, M. R. (2008). [The effects of climate factors on road accidents of Rasht to Anzali (Persian)]. Journal of The Studies of Human Settlements Planning, 3(7), 9-26. [Link]
Aghajani, M. A., Dezfoulian, R. S., Arjroody, A. R., & Rezaei, M. (2017). Applying GIS to identify the spatial and temporal patterns of road accidents using spatial statistics (case study: Ilam Province, Iran). Transportation Research Procedia, 25, 2126-2138.  [DOI:10.1016/j.trpro.2017.05.409]
Alejano, L. R., Stockhausen, H. W., Alonso, E., Bastante, F. G., & Oyanguren, P. R. (2008). ROFRAQ: A statistics-based empirical method for assessing accident risk from rockfalls in quarries. International Journal of Rock Mechanics and Mining Sciences, 45(8), 1252-1272. [DOI:10.1016/j.ijrmms.2008.01.003]
Anderson, T. (2007). Comparison of spatial methods for measuring road accident ‘hotspots’: A case study of London. Journal of Maps, 3(1), 55-63. [DOI:10.4113/jom.2007.72]
Bahadori, M., Nasiripur, A., Tofighi, S., & Gohari, M. (2010). Emergency medical services in Iran: An overview. Australasian Medical Journal (Online), 3(6), 335. [Link]
Bergel-Hayat, R., Debbarh, M., Antoniou, C., & Yannis, G. (2013).Explaining the road accident risk: Weather effects. Accident Analysis & Prevention, 60, 456-465. [DOI:10.1016/j.aap.2013.03.006] [PMID]
Dehghan Farouji, F., & Beitollahi, A. (2022). [The geology of the Haraz Road in the Province of Mazandaran with Emphasis on identifying Natural Hazards (Persian)]. Road, 30(113), 33-56. [Link]
de Winter, J. C., & Dodou, D. (2010). The Driver Behaviour Questionnaire as a predictor of accidents: A meta-analysis. Journal of Safety Research, 41(6), 463-470. [DOI:10.1016/j.jsr.2010.10.007] [PMID]
Deublein, M., Schubert, M., & Adey, B. T. (2014). Prediction of road accidents: Comparison of two Bayesian methods. Structure and Infrastructure Engineering, 10(11), 1394-1416. [DOI:10.1080/15732479.2013.821139]
Elvik, R. (2013). Risk of road accident associated with the use of drugs: A systematic review and meta-analysis of evidence from epidemiological studies. Accident Analysis & Prevention, 60, 254-267. [DOI:10.1016/j.aap.2012.06.017] [PMID]
Geurts, K., & Wets, G. (2003). Black spot analysis methods: Literature review. Diepenbeek: Universitaire Campus GEBOUW D. [Link]
Gorea, R. K. (2016). Financial impact of road traffic accidents on the society. International Journal of Ethics, Trauma & Victimology, 2(01), 6-9. [Link]
Hakim, S., Shefer, D., & Hocherman, I. (1991). A critical review of macro models for road accidents. Accident Analysis & Prevention, 23(5), 379-400. [DOI:10.1016/0001-4575(91)90058-D]
Hasani, V., & Jahanbin, N. (2019). [Spatial-spatial analysis of the inland urban crash using spatial GIS and Fuzzy Model (Case study: Kerman city) )(Persian)]. Journal of Urban Social Geography, 6(1), 57-70. [Link]
Islam, K., Reza, I., Gazder, U., Akter, R., Arifuzzaman, M., & Rahman, M. M. (2022). Predicting road crash severity using classifier models and crash hotspots. Applied Sciences, 12(22), 11354. [DOI:10.3390/app122211354]
Mohammadi, N., & Sasanpour, F. (2021). [Landslide and debris flow risk analysis in Haraz and Lavasanat roads (Persian)]. Water and Soil Management and Modelling, 1(4), 14-29. [Link]
Nazmfar, H., Eshghei Char Borj, A., Alavi, S., & Jasaraty, A. (2017). [Spatial analysis of road accidents resulting in death approach to climate Case Study: Ardabil Province (Persian)]. Scientific- Research Quarterly of Geographical Data (SEPEHR), 26(103), 83-97. [Link
Petrova, E. (2011). Critical infrastructure in Russia: Geographical analysis of accidents triggered by natural hazards. Environmental Engineering & Management Journal , 1(1), 53-58. [Link] 
Prasannakumar, V., Vijith, H., Charutha, R., & Geetha, N. (2011). Spatio-temporal clustering of road accidents: GIS based analysis and assessment. Procedia-Social and Behavioral Sciences, 21, 317-325. [DOI:10.1016/j.sbspro.2011.07.020]]
Sakhare, A. V., & Kasbe, P. S. (2017). A review on road accident data analysis using data mining techniques. Paper presented at: 2017 International Conference on Innovations in Information, Embedded and Communication Systems (ICIIECS), Coimbatore, India, 17-18 March 2017 . [DOI:10.1109/ICIIECS.2017.8275920]
Satria, R., & Castro, M. (2016). GIS tools for analyzing accidents and road design: A review. Transportation Research Procedia, 18, 242-247. [DOI:10.1016/j.trpro.2016.12.033]
Savolainen, P. T., Mannering, F. L., Lord, D., & Quddus, M. A. (2011). The statistical analysis of highway crash-injury severities: A review and assessment of methodological alternatives. Accident; Analysis and Prevention, 43(5), 1666–1676. [DOI:10.1016/j.aap.2011.03.025] [PMID]
Seydai, S. E., Jahangir, E., Darabkhani, R., & Panahi, A. (2020). [Recognizing the Eventful points of the axes of Alborz province using the kernel density method (Persian)]. Human Geography Research, 52(3), 939-951. [Link]
Shahzad, M. (2020). Review of road accident analysis using GIS technique. International Journal of Injury Control and Safety Promotion, 27(4), 472-481. [DOI:10.1080/17457300.2020.1811732] [PMID]
Silverman, B. W. (1986) Density estimation for statistics and data analysis. London: Chapman & Hall. [Link]
Sipos, T. (2017). Spatial statistical analysis of the traffic accidents. Periodica Polytechnica Transportation Engineering, 45(2), 101-105. [DOI:10.3311/PPtr.9895]]
Smith, K. (1982). How seasonal and weather conditions influence road accidents in Glasgow. Scottish Geographical Magazine, 98(2), 103-114. [DOI:10.1080/00369228208736523]
Stephen, L., Kelakom, G. G., Sojan, J. M., Sreelakshmi, K. S., & Vishnu, N. B. (2018). Identification and analysis of accident blackspots using GIS. International Research Journal of Engineering and Technology, 5(03), 3455-3459. [Link]
Wang, M, Yi, J., Chen, X., Zhang, W., & Qiang, T. (2021). Spatial and temporal distribution analysis of traffic accidents using GIS-Based Data in Harbin. Journal of Advanced Transportation, 2021 1-10. [DOI:10.1155/2021/9207500]
WHO. (2018). Global status report on road safety 2018. Geneva: WHO. [Link]
Xie, Z., & Yan, J. (2008). Kernel density estimation of traffic accidents in a network space. Computers, Environment and Urban Systems, 32(5), 396-406. [DOI:10.1016/j.compenvurbsys.2008.05.001]
Zeynali, S., Hosseinali, F., Sadeghi Niaraki, A., Kazemi Beydokhti, M., & Effati, M. (2015). [Spatial analysis of accidents at the suburban intersections using Kernel Density Estimation and Spatial Autocorrelation Methods (Persian)]. Engineering Journal of Geospatial Information Technology, 3(2), 21-42. [Link]
نوع مطالعه: پژوهشي | موضوع مقاله: تخصصي
دریافت: 1402/7/20 | پذیرش: 1402/10/26 | انتشار الکترونیک: 1402/12/10

ارسال نظر درباره این مقاله : نام کاربری یا پست الکترونیک شما:
CAPTCHA

بازنشر اطلاعات
Creative Commons License این مقاله تحت شرایط Creative Commons Attribution-NonCommercial 4.0 International License قابل بازنشر است.

کلیه حقوق این وب سایت متعلق به فصلنامه علمی دانش پیشگیری و مدیریت بحران می باشد.

طراحی و برنامه نویسی : یکتاوب افزار شرق

Designed & Developed by : Yektaweb