مقدمه
مقابله با بحرانهای محیط شهری یکی از موضوعاتی است که همه جوامع شهری با آن مواجهاند. سیل میتواند اختلالات عمدهای در شهرها ایجاد کند و تأثیرات قابلتوجهی بر شهروندان، زیرساختها، کاربریها و داراییها و محیط زیست داشته باشد (یزدی، 2018). این تأثیرات ممکن است با تغییرات آبوهوایی و شرایط اقتصادیاجتماعی و گسترش شهرنشینی تشدید د. روندهای روبهرشد فراوانی و شدت وقوع بارشهای ناگهانی احتمال وقوع سیلاب شهری را افزایش داده است. درنتیجه انتظار میرود در دهههای آینده اثرات سیل بر جوامع و داراییها تشدید شود. در کوتاهمدت، این موارد میتواند شامل خطر جانی، خسارت به اموال و داراییها و خرابی زیرساختهایی مانند حملونقل و شبکههای برق باشد. در میانمدت، سیلابهای آلوده خطر سیل را افزایش داده و باعث گسترش بیماری میشود. در درازمدت، اختلال ناشی از سیل میتواند پیامدهای اقتصادی داشته باشد که فراتر از منطقه آسیبدیده است.
باتوجهبه اثرات و پیامدهای سیل، نیاز به برنامهریزی برای کاهش اثرات سیل و پیشبینی سیل کاملاً محسوس و قابلدرک است. بهعبارتدیگر، مدیریت و کنترل سیل، نیازمند مدلسازی و پیشبینی مناطق سیلگیر قبل از وقوع آن است و این کار ازطریق ابزار مدلسازی هیدرولوژیکی و هیدرولیکی میسر است. مدلسازی و پهنهبندی سیلاب بهعنوان یکی از ابزارهای کلیدی در مدیریت بحرانهای شهری، نقش مهمی در افزایش تابآوری شهرها در برابر مخاطرات طبیعی ایفا میکند. در مطالعات متعددی، مانند پژوهشهای انجامشده توسط باتر و همکاران (2025) و سان و همکاران (2019)، به کاربرد گسترده مدلهای هیدرولوژیکی و GIS در شناسایی و کاهش مناطق پرخطر سیلگیر اشاره شده است. این مدلها به شهرها اجازه میدهند که با شبیهسازی الگوهای بارش و جریانهای سیلابی، مناطق حساس به سیل را شناسایی کرده و برنامههای بهینهسازی و حفاظت شهری را به اجرا بگذارند. نمونههایی از کاربردهای بینالمللی شامل طرحهای تابآوری در برابر سیلاب در کشورهایی، چون ژاپن و هلند است که در آنها پهنهبندی سیلاب به شکل گستردهای برای کاهش خطرات و محافظت از زیرساختها و ساکنین مورد استفاده قرار گرفته است.
شهرهای درحالتوسعه، که اغلب با رشد سریع و نبود زیرساختهای مقاوم روبهرو هستند، نیاز مبرمی به مدلسازی و پهنهبندی سیلاب برای کاهش خطرات ناشی از بلایای طبیعی دارند. چنین مدلسازیهایی به این شهرها کمک میکند تا با شناخت دقیقتر مناطق پرخطر، برنامههای کارآمدتری برای کاهش آسیبپذیری اجرا کرده و از اثرات شدید بلایای طبیعی بکاهند. بهطورکلی هدف از شبیهسازی و مدلسازی سیلاب آگاهی از مساحت منطقه درگیر با سیلاب، عمق آب و سرعت جریان است. از طرفی مدلسازی سیل شهری به واسطه وجود المانهای مختلف و کاربریهای گسترده پیچیدگیهای زیادی دارد. باتوجهبه اهمیت موضوع، تاکنون تحقیقات متعددی درزمینه مدلسازی و پهنهبندی سیل انجام شده و در حال حاضر نیز در سطح ملی و بینالمللی ادامه دارد. در ادامه بهعنوان نمونه، به برخی از این مطالعات اشاره میشود.
کار و اسمیت (2007) به بررسی پیوند مدلهای هیدرولیکی دوبعدی جریان سطحی با مدلهای یکبعدی زیرسطحی پرداختند. ایشان چنین رویکردی را برای انواع حوضههای آبریز کوچک و پیچیده شهری در استرالیا و نیوزیلند شرح دادند.ووینوویچ و توتولیک (2009) تفاوت قابلیتهای پیشبینی رویکردهای مدلسازی یکبعدی و یکبعدیدوبعدی را بهمنظور تجزیهوتحلیل سیل شهری در زمینهای نامنظم بررسی کردند. همانطور که انتظار میرفت، نشان داده شد درمورد زمینهایی که فقط برای مدلهای یکبعدی مناسب هستند، پیشبینی متغیرهای جریان در امتداد آبراهه میتواند واقعبینانه باشد. اما هنگامی که صحبت از طرح بر روی یک نقشه دوبعدی میشود، نمایش توپوگرافی زمین همراه با تکنیکهای نقشهبرداری که استفاده میشود، عامل محدودکنندهای را در کاربرد موفق آنها معرفی میکند.
ووزیناکی و همکاران (2012) جهت ارزی خسارات سیل در بخش کشاورزی از مدل دوبعدی MIKE FLOOD بهمنظور شبیهسازی هیدرولیک رودخانه استفاده کردند. آنها از این مدل کوپلشده، برای شبیهسازی سیل در حوضه رودخانه کویلاریس در کرت یونان استفاده کردند. بیشت و همکاران (2016) جهت ارائه راهحلهایی برای مشکل مدیریت آبهای سطحی در منطقه شهری، به شبیهسازی سیلاب شهری و شبکه زهکشی شهری با استفاده از مدل MMWS (راسمن، 2010) مدل MIKEURBAN پرداختند. در این تحقیق، آنها از نتایج مربوط به بارش شدید جولای 2013 در منطقه آربانیا برای پهنهبندی استفاده کردند. ارنا و همکاران (2018) از مدل هیدرودینامیکی FLO-2D برای شناسایی روستاهای مستعد سیل استفاده کردند. یانگ و همکاران (2020) با استفاده از مدل SWMM و MIKE21 شبیهسازی سیلابهای شهری در شرایط بارندگی ثابت و ناایستا با دورههای بازگشت مختلف را مورد بررسی قرار دادند. نتایج شبیهسازی نشان میدهد عمق بارندگی در حالت ناایستایی بیشتر از عمق بارندگی زمانی است که دوره بازگشت کمتر از 10 سال بود، اما برای دوره بازگشت بیش از 20 سال نتایج معکوس شد.
ژانگ و همکاران (2020) یک مدل هیدرولیکی پیوند دینامیکی 1D-2D در زمان واقعی، با هدف بررسی قابلیت کاربرد مدل در شبیهسازی سیلاب حوضههای کوهستانی ایجاد کردند. قابلیت مدل در برابر جاری شدن سیل در واقعه 22 جولای 2010 و 14 آگوست 2013 در منطقه موردمطالعه تأیید شد. نتایج شبیهسازی نشان داد خروجی مدل سیل بسیار شبیه نتایج مشاهدهشده در رویدادهای سیل تاریخی است.
دونگ و همکاران (2022) بهمنظور شبیهسازی سیل شهری و ارزی خطرات سیل برای افراد و وسایل نقلیه در سیلاب، یک مدل هیدرودینامیکی یکپارچه یکبعدیدوبعدی رواناب با در نظرگرفتن ماژول ارزی خطر سیل بر مردم و وسایل نقلیه ارائه کردند. آنها یک سیلاب شهری واقعی که در گلاسکوی انگلستان رخ داده است را شبیهسازی کردند و تأثیر سیستم زهکشی رواناب بر فرایندهای طغیان سیل و توزیع درجه خطر افراد و وسایل نقلیه را بهطور جامع بررسی کردند. ایشان گزارش کردند حدود 88/7 درصد از کل حجم رواناب توسط شبکه جمعآوری رواناب تخلیه شد و سیستم زهکشی توانست (بهجز در برخی مناطق محدود محلی با عمق و سرعت زیاد آب)، خطرات سیل بر مردم و وسایل نقلیه را به شدت کاهش دهد.
زندسلیم و همکاران (2024) دقت مدلهای رقومیارتفاعی مختلف در سطح دنیا را بر روی نتایج مدلسازی پهنهبندی دوبعدی سیلاب شهری بررسی و ارزی کردند. در کار ایشان، منطقه سیلبرگردان غرب تهران بهعنوان مطالعه مورد انتخاب شد و با بررسی اثرات جایگزینی نقشه با وضوح بالا (یک نقشه با وضوح 5 متری) با نقشههای با وضوح کمتر، تحلیلهایی بر روی میزان دقت و خطای منابع اطلاعاتی مختلف ارائه شد.
علیرغم تحقیقات گسترده مرتبط با پهنهبندی سیلاب شهری، شرایط، و حالات واقعی و نیازمند بررسی و مطالعه بیشتر در این زمینه همچنان وجود دارد. در اکثر تحقیقات مرتبط ازجمله موارد مذکور، جریانهای ورودی به کانالها و مجاری بهعنوان داده و شرایط مرزی معلوم به مدلها داده میشود و سپس معادلات جریان بر روی مسیر آبراههها و کانالها (بهصورت یکبعدی) و در صورت سرریز شدن بر روی سطوح و معابر (بهصورت دوبعدی) بر روی یک شبکه محاسباتی، گسسته و مدلسازی میشود. این شرایط ورودی معمولاً از مدلهای هیدرولوژیکی مفهومی یا اندازهگیریهای میدانی حاصل میشود.
در برخی شرایط واقعی ممکن است شبکه کانال یا آبراهه وجود نداشته باشد و از طرفی پهنهبندی سیل در این مناطق مدنظر باشد. این مسئله در منطقه 21 و 22 شهر تهران که هنوز شبکه جمعآوری و هدایت سیلاب آن توسعه پیدا نکرده است، بهخوبی مصداق پیدا میکند. در این شرایط، پهنهبندی سیل نیازمند مدلسازی فیزیکی همزمان بارش و رواناب در سطح حوضه آبریز است. چنین رویکردی در تحقیقات بینالمللی و بهویژه در سطح ملی بسیار کمتر مورد توجه قرار گرفته است. در پژوهش حاضر، مدلسازی بارشرواناب فیزیکمبنا برای مناطق شهری بهمنظور استخراج پهنه سیلاب شهری برای اولینبار در کشور توسعه داده شده است و نوآوری پژوهش حاضر محسوب میشود. این روش برای استخراج پهنههای سلاب مناطق 21 و 22 شهر تهران به کار گرفته شده است.
روش
شبیهسازی سیلاب بر مبنای معادلات فیزیک حاکم بر جریان از قبیل بقای جرم، پیوستگی، ممنتوم و انرژی است، اما پیچیدگی و حجم بالای محاسبات در این روشها و نیاز آنها به دادههای ورودی خاص، دامنه استفاده از این مدلها را در بحث سیلاب شهری محدود میکند. برای مدلسازی و کاهش این پیچیدگیها 2 نوع مدل نیاز است: یک مدل هیدرولوژیکی که رواناب سطح را از بارش شبیهسازی میکند و یک مدل هیدرولیکی که جریان داخل کانالها و مجاری و خانها و سطوح را توصیف کند. بخشی از رواناب ورودی به مناطق 21 و 22 شهر تهران، از مناطق کوهستانی بالادست وارد محدوده میشود. رواناب ورودی از کوهستان با استفاده از روش مدلسازی هیدرولوژیکی مفهومی مطابق با مطالعات طرح جامع و فرامنطقهای حوضههای آبریز اصلی شهر تهران برآورد و بهعنوان ورودی به مدل هیدرولیکی مناطق 1و 2 معرفی میشوند (سازمان مشاور فنی و مهندسی شهر تهران، 1390). مدلسازی بارش در سطح مناطق 21 و 22 بعد از کسر تلفات بارش به روش عدد منحنی SCS (چاو و همکاران 1988)، بهصورت بارش خالص بر روی سطوح شهری در نظر گرفته شده و رواناب حاصله به همراه رواناب وارده از مناطق کوهستانی شهر با استفاده از حل معادلات آبهای کمعمق، یعنی معادلات دوبعدی جریان (هادیان و زراتی، 1388) بر روی سطوح شهری شبیهسازی میشود و پهنههای سیلابی استخراج میشود.
مدلهای شبیهسازی
مدلسازی بارشرواناب زیرحوضههای کوهستانی مشرف به شهر: بهمنظور مدلسازی هیدرولوژیکی زیرحوضههای کوهستانی بالادست شهر از مدلسازی مفهومی به کمک نرمافزار HEC-HMS نسخه 4/12 بهره برده شده است. در حالت کلی، فرایند مدلسازی هیدرولوژیکی بهصورت مفهومی شامل 4 زیربخش اصلی است: 1. منطقهای کردن بارش، 2. تخمین تلفات بارش، 3. برآورد هیدروگراف رواناب، 4. روندی هیدروگراف رواناب. برای منطقهای کردن بارش، یعنی تعیین توزیع مکانی بارش، از روش پیشنهادی طرح جامع استفاده شده است و باتوجهبه ارتفاع متوسط هر زیرحوضه، بارش طرح ازطریق رابطه شدت ـ مدت ـ فراوانی (
فرمول شماره 1) تخمین زده میشود (سازمان مشاور فنی و مهندسی شهر تهران، 1390).
1. j=cAlt.Rp×D-0.645
i= شدت بارش (میلیمتر بر ساعت) ، D= تداوم بارندگی (دقیقه)، CAlt.RP= ضریب معادله که متناسب با دوره بازگشت بارش و ارتفاع متوسط حوضه انتخاب میشود.
برای محاسبه تلفات بارش، از روش عدد منحنی استفاده میشود (چاو و همکاران 1988)

در
فرمول شماره 2، CN عدد منحنی و S حداکثر پتانسیل نگهداشت آب در سطح حوضه (میلیمتر) است. عدد منحنی باتوجهبه کاربری زمین تعیین میشود و پس از محاسبه S از
فرمول شماره 2، مقدار بارش مؤثر Pe از
فرمول شماره 3 برآورد میشود (چاو و همکاران 1988)

در
فرمول شماره 3، P مقدار کل بارش است. پس از محاسبه بارش خالص در گامهای زمانی مختلف، نرمافزار از روش هیدروگراف واحد برای تبدیل بارش مازاد یا همان بارش خالص، به هیدروگراف رواناب استفاده میکند. در این پژوهش، برای محاسبه هیدروگراف سیل، از روش هیدروگراف واحد NRCS (SCS) استفاده شده است (مایز، 2005). با محاسبه هیدروگراف سیل ورودی به رودخانهها، فرایند چهارم، یعنی روندی سیل در آبراهه انجام میشود. برای روندی سیل در رودخانههای کوهستانی مشرف به شهر، از روش روندی ماسکینگام استفاده شده است (مایز، 2005). در این روش، ضریب X=0/2 در نظر گرفته شده و ضریب K، بهطور تقریبی از روی مدتزمان حرکت آب در آبراهه تخمین زده شده است.
باران طراحی
باران طراحی، مطابق توصیه طرح جامع آبهای سطحی شهر تهران، باران با دوره بازگشت 50 سال در نظر گرفته شده است. برای تعیین رواناب طرح از باران طرح، ابتدا باران طرح با استفاده از روابط شدت ـ مدت ـ فراوانی استخراج شده است. سپس با استفاده از مدل بارشرواناب، رواناب طرح تعیین میشود. شدت بارش طراحی با استفاده از فرمول شدت ـ مدت ـ فراوانی شهر تهران در
فرمول شماره 1 حاصل میشود. این رابطه با استفاده از مطالعات انجامشده برای 9 ایستگاه بارانسنجی واقع در حوضههای آبریز شهر تهران و تجمیع منحنیهای شدت ـ مدت ـ فراوانی بارش آنها حاصل شده است (سازمان مشاور فنی و مهندسی شهر تهران، الف، 1390).
در تحقیق حاضر، همچنین مطابق توصیه طرح جامع آبهای سطحی شهر تهران، تداوم کل بارندگی 6 ساعت در نظر گرفته شده است. پس از توزیع مقدار بارندگی، طرح حاصل از
فرمول شماره 1، در مدت 6 ساعت با استفاده از روش بلوکهای متناوب (Chow et al. 1988)، سری زمانی حاصل برای زیرحوضههای مختلف، بهعنوان هیتوگراف بارش زیرحوضهها به مدل بارشرواناب معرفی میشود.
مدلسازی بارشرواناب زیرحوضههای شهری
برای مدلسازی بارشرواناب زیرحوضههای شهری، در شرایط و وضع موجود از روش عدد منحنی برای تخمین تلفات بارش استفاده شده است (روابط بخش قبل). سپس بارش خالص به روش هیدرولیکی با حل عددی معادلات جریان با استفاده مدل هیدرولیکی دوبعدی، بر روی سطوح شهری روندی شده و عمق و سرعت در هر پیکسل محاسباتی در محدوده آبراههها و رودخانهها با ابعاد 5m2 و بر روی سطوح با ابعاد 25m در سطح محدوده به دست میآید. عدد منحنی زیرحوضهها در مطالعات فرامنطقهای حوضههای آبریز شهر تهران باتوجهبه نقشههای کاربری زمین برای زیرحوضههای مختلف محاسبه شده است و در این پژوهش، از اعداد منحنی مطالعات مذکور برای زیرحوضهها استفاده شده است (سازمان مشاور فنی و مهندسی شهر تهران ، 1390).
مدلسازی هیدرولیکی و پهنهبندی سیل
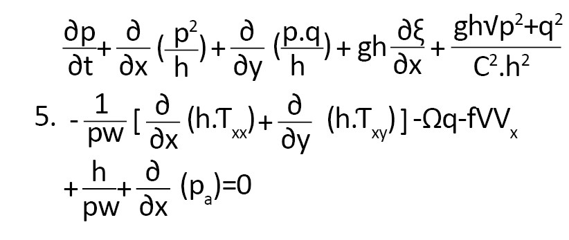
مدلسازی هیدرولیکی شامل حل عددی معادلات دیفرانسیلی حاکم بر جریان، شامل معادلات پیوستگی و ممنتم بهصورت دوبعدی بر روی سطوح معابر و خانهاست. این معادلات بهصورت
فرمولهای شماره 4،
5 و
6 نوشته میشوند و به معادلات آبهای کمعمق معروفاند (موسسه هیدرولیک دانمارک، 2014):
معادله پیوستگی:

معادله ممنتم در جهت x:

معادله ممنتم در جهت y:

در
فرمولهای شماره 4،
5 و
6 h(x,y,t)=ξ-d عمق (متر)، d(x,y,t) عمق آب متغیر با زمان (متر)، ξ(x,y,t) تراز سطح زمین (متر)، c(x,y)ضریب شزی (m
0/5/sec)،p,q(x,y,t) : چگالی جریان در جهت x و y برحسب m
0/5/sec.m ،v,u(x,y,t) متوسط سرعت جریان در عمق در جهتهای x و y هستند. g شتاب جاذبه زمین، f(v) ضریب اصطکاک باد، v,vx,vy, سرعت باد و مؤلفههای آن در جهت x و y بر حسب متر بر ثانیه،Ω(x,y) ضریب کریولیس وابسته به طول جغرافیایی برحسب Sec
-1، pa(x,y,t) فشار اتمسفر (Kg/m
3)، Pw چگالی آب و Ƭxx , Ƭxy , Ƭyy مؤلفههای تنش برشی مؤثر هستند.
فرمولهای شماره 4،
5 و
6، حل تحلیلی نداشته و بهصورت عددی حل میشوند. برای این منظور از مدل دوبعدی MIKE21 (موسسه هیدرولیک دانمارک، 2014) برای حل فرمولهای مذکور و تعیین پهنههای سیلاب ناشی از رواناب جاری از منطقه کوهستانی به منظقه شهری و از مدل FLO-2D برای حل معادلات جریان و تعیین پهنههای سیلابی ناشی از بارش خالص بر روی سطح شهری استفاده شده است (فلو و 2دی، 2021). با حل عددی این معادلات، مقادیر متغیرهای عمق و سرعت جریان در 2 جهت x و y به دست میآید. در صورت تمایل میتوان برای آشنایی با این معادلات و الگوهای حل عددی آنها به کتب مرجع هیدرولیک محاسباتی یا راهنمای نرمافزار مراجعه کرد (برای مثال: مقصودی و همکاران، 1403، هادیان و زراتی، 1388).
دلیل استفاده از 2 مدل بهجای یک مدل برای استخراج پهنههای سیل منطقه 21 و 22 این بوده است که مدل MIKE21 قادر به استخراج پهنه ناشی از بارش بر روی سطوح نبوده است، گرچه این مدل اثر بارش را بر روی پهنه سیلاب جاری بر روی سطوح (ناشی از هیدروگراف رودخانهها یا منابع نقطهای) میبیند. از طرفی، مدل Flo-2D دارای محدودیت تعداد مش بوده و ریزتر کردن مش محاسباتی از یک حد مشخص در نسخه Flo-2D در دسترس مؤلفین امکانپذیر نبود. درعینحال استخراچ پهنههای سیلابی ناشی از روانابهای کوهستانی و نیز در محدوده رودخانه وردآورد با ابعاد مش ریزتر ازطریق مدل MIKE21 امکانپذیر بود. بنابراین پهنههای بهدستآمده از 2 مدل با یکدیگر تلفیق شد. بدینصورت که درمورد پهنههای ناشی از منابع رواناب بالادستی کوهستان، از جمله رودخانه وردآورد، نتایج MIKE21 و برای پهنههای دیگر مناطق ناشی از بارش بر روی سطوح شهری، نتایج Flo-2D استفاده شد. ابعاد شبکه محاسباتی در مدل MIKE21 5 مترمربع و در مدل Flo-2D، 25 متر در نظر گرفته شده است. انتخاب ابعاد 5m2 در مدل MIKE21 براساس تحلیل حساسیت ابعاد مش در مطالعه پایلوت محدوده سیلبرگردان غرب تهران بوده است (پژوهشکده مهندسی آب، 1400). در این مطالعه ابعاد مش، 50، 30، 20، 10، 5 و 1 متر در نظر گرفته شد و پس از آنالیز حساسیت مشخص شد در مدلسازی سیلاب شهری در شهر تهران، ابعاد مش 5 متر دقت و کفایت لازم را در مدلسازی پهنه سیل با هدف برآورد خسارتهای سیل برحسب واحدهای پولی دارد. ابعاد مش 25 متر در مدل Flo-2D به دلیل محدودیتهای این نرمافزار انتخاب شد. این ابعاد مش شاید برای مناطق متراکم شهری دقت لازم را نداشته باشد، اما برای مناطق 21 و 22 شهر تهران که تراکم ساختمانها کم بوده و از طرفی هدف، برآورد دقیق خسارت نبوده و تعیین پهنههای سیلگیر باتوجهبه گودیها و عوارض طبیعی زمین مد نظر است، توجیهپذیر است.
در مدلسازی وضع موجود، سری زمانی جریانهای ورودی از مناطق کوهستانی بالادست مربوط به باران طرح که توسط مدل هیدرولوژیکی تخمین زده شد، بهعنوان شرط مرزی داخلی و بهصورت منبع به مدل معرفی میشوند. بارشهای خالص بر روی سطوح شهری نیز که بعد از کسر تلفات به روش NRCS (SCS)، به دست آمدند باتوجهبه معادلات پیوستگی و ممنتم و براساس مدل رقومیارتفاعی منطقه، بر روی سطوح روندی میشود. در پژوهش حاضر، بهمنظور مدلسازی هیدرولیکی از یک مدل رقومیارتفاعی با قدرت تفکیک مکانی 1m2 حاصل از تصویر ماهوارهای GEOEYE استفاده شده است. نقشه ضریب مانینگ سطوح باتوجهبه نوع کاربری زمین و انتخاب ضریب مناسب برای هر نوع کاربری از مراجع معتبر، در محیط GIS تهیه شد. آنالیز حساسیت بر روی ضریب مانینگ کاربریها نیز در پایلوت سیلبرگردان غرب قبلاً انجام شده است. بدینصورت که ضرایب مانینگ انتخابی تا 25 درصد افزایش و کاهش داده شد و تغییرات مساحت پهنه سیل بررسی شد. مشخص شد درصد تغییرات مساحت پهنه سیل کمتر از 5 درصد است؛ بنابراین از صحت و پایداری نتایج مدلسازی بر مبنای مقادیر انتخابی ضریب مانینگ اطمینان حاصل شد.
مطالعه موردی
محدوده موردمطالعه زیرحوضههای کوهستانی مشرف به منطقه 21 و 22، به همراه مناطق 21 و 22 شهر تهران است (
تصویر شماره 1-الف).

ﻣﻨﺎﻃﻖ ﺷﻬﺮی ﻏﺮﺏ ﺭﻭﺩﺧﺎﻧﻪ ﻛﻦ ﻣﺴﺎﺣتی ﺣﺪﻭﺩ 86 کیلومترمربع داشته ﻛﻪ ﺭﻭﺍﻧﺎﺏ ﺁﻧﻬﺎ در حال حاضر به 2 تخلیهگاه و پس از تکمیل شبکه آب سطحی مناطق 21 و 22 مطابق
تصویر شماره 1-ب به 3 تخلیهگاه میپیوندد. با تکمیل اجرای شبکه آب سطحی، بخشی از رواناب بخشهای شرقی ازطریق لولهگذاریهای دریاچه چیتگر به کانالِ دستواره منتهی میشود و بخشی از زیرحوضههای شهری نیز مستقیماً به رودخانه وردآورد تخلیه میشوند. در مطالعات شهرداری تهران، باتوجهبه مقتضیات محدوده طرح در حوضه غرب کن، پس از تکمیل شبکه آب سطحی، 3 سامانه جهت جمعآوری آبهای سطحی تعریف شده است و دارای 3 تخلیهگاه در مناطق 21 و 22 خواهند بود که عبارتاند از: 1. حوضچه تعدیل سیلاب باغستان در جنوب بزرگراه آزادگان، 2. رودخانه وردآورد، 3. حوضچه تعدیل سیلاب شهریار در غرب مناطق 21 و 22 (سازمان مشاور فنی و مهندسی شهر تهران، 1390).
بحث
بهمنظور مدلسازی بارشرواناب عدد منحنی سطوح برای محاسبه تلفات لازم بود. عدد منحنی برای هر زیرحوضه، براساس نقشههای کاربری اراضی طرح تفصیلی شهر تهران و انتخاب عدد منحنی مناسب از جداول راهنما برای هر نوع کاربری (سازمان مشاور فنی و مهندسی شهر تهران، 1390) و درنهایت متوسطگیری وزنی براساس مساحت هر کاربری در آن زیرحوضه از محیط GIS استخراج شده است. مقادیر CN زیرحوضهها در
تصویر شماره 1-الف نشان داده شده است. همانطور که ملاحظه میشود عدد منحنی مناطق جنگلی و پارکها کوچکتر از مناطقی است که دارای پوشش نفوذناپذیر است و به محدودههای با تراکم ساختمانی بالا در مناطق 21 و 22 عدد منحنی بزرگتری اختصاص داده شده است که با واقعیت تطابق دارد. مدل رقومیارتفاعی منطقه 21 و 22 نیز در
تصویر شماره 2 ارائه شده است.

همانطور که ملاحظه میشود در منطقه شهری، اختلاف ارتفاع بلندترین و پستترین نقطه حدود 350 متر است. از روی مدل رقومیارتفاعی ارائهشده، تغییرات ارتفاعی ناشی از ساختمانها و عوارض شهری بهخوبی قابلمشاهده است و اعداد منحنی بالا در
تصویر شماره 1-الف با محدوده ساختمانها در این شکل همخوانی دارد.
در پهنهبندی سیلاب شهری دقت مدل رقومیارتفاعی از اهمیت بسیار بالایی در اعتمادپذیری نتایج برخوردار است. قدرت تفکیک مکانی مدل رقومیارتفاعی مورداستفاده در این مطالعات 1m2 بوده است که برای اهداف پهنهبندی سیل، سطح دقت نسبتاً بالایی محسوب میشود. در تحقیقات مرتبط با پهنهبندی سیل، سطح دقت مدل رقومیارتفاعی در همین حدود سطح دقت یا با دقت پایینتر بوده است. برای مثال، عطیف و همکاران (2020) از مدل رقومیارتفاعی STRM (دقت 10 تا 16 متر)، فرشته پور و همکاران (2024) از مدل رقومیارتفاعی NED (دقت 1 تا 3 متر)، نوح و همکاران (2018) از مدل رقومیارتفاعی حاصل از تصاویر LiDAR (با دقت زیر 1 متر) و یان و همکاران(2013) از ترکیبی از مدلهای مذکور برای پهنهبندی سیل استفاده کردند.
با اجرای مدل HEC-HMS برای زیرحوضههای کوهستانی مشرف به شهر، رواناب ورودی از بالادست به محدوده شهری برای بارش 50 ساله تخمین زده شد.
تصویر شماره 3 هیدروگراف رواناب ورودی به محدوده شهری ناشی از بارش 50 ساله را نشان میدهد.

این هیدروگرافها (J1 تا J12) در
تصویر شماره 1، مربوط به نقاط قرمزرنگ از راست به چپ هستند. هیتوگراف بارش 50 ساله در زیرحوضههای کوهستانی باتوجهبه ارتفاع متوسط زیرحوضهها متغیر است به شکلی که هر چقدر ارتفاع متوسط زیرحوضهای بیشتر باشد، بارش 50 ساله آن زیرحوضه نیز مطابق ضریب رابطه شدتمدت از مقدار و شدت بیشتری برخوردار است. همانطور که از شکل هیدروگرافها مشخص است، هیدروگراف رواناب ورودی به رودخانه وردآورد (J6) نسبت به رواناب دیگر زیرحوضهها سهم بسیار قابلتوجهی دارد که باتوجهبه مجموع مساحت زیرحوضههای منتهی به رودخانه وردآورد در ورودی شهر، این مسئله منطقی و معقول است.
بهمنظور مدلسازی هیدرولیکی، ابتدا نقشه توزیع ضریب مانینگ باتوجهبه نوع کاربریهای منطقه 21 و 22 تهیه شد (
تصویر شماره 4).

سپس مدل هیدرولیکی آماده شد و در شرایط وضع موجود اجرا شد. باتوجهبه ابعاد مشهای محاسباتی، تعداد مشها در مدل MIKE21 برابر 4،476،661 و در مدل FLO-2D برابر 183،322 سلول در نظر گرفته شد. اجرای مدل بر روی یک سیستم با پردازنده Intel® core i7-7700K CPU @ 4.2 GHz و 32 GB حافظه و کارت گرافیک G-force RTX 3070 برای MIKE21 حدود 7 ساعت و برای FLO-2D حدود نیمساعت به طول انجامید.
تصویر شماره 5 پهنه سیلاب 50 ساله را در حالت وضع موجود نشان میدهد.

همانطور که از شکل پیداست، ازآنجاکه در وضع موجود، شبکه کانالهای آب سطحی توسعه پیدا نکرده است، در سراسر مناطق 21 و 22 ماندابی برای عمقهای بیش از 5 سانتیمتر، بهصورت لکههای پراکنده قابلمشاهده است و این مسئله لزوم توسعه شبکه رواناب سطحی را برای این مناطق بیان میکند. همچنین براساس نتایج پهنهبندی هیدرولیکی، بزرگراه خرازی در محل تقاطع با مسیلهای کوهستانی دچار آبگرفتگی میشود. بلوارهای هاشمزاده، جنگلبان، بلوار جوزانی و طبیعت مسیرهای سیلابی مهم اطراف دریاچه چیتگر را تشکیل میدهند. متروی تهران ـ کرج در جنوب پارک آرش کمانگیر و نیز در ضلع جنوب غربی مجتمع فرماندهی لجستیک مصطفی خمینی خطر سیلگرفتگی دارد. بزرگراه همدانی در جنوب دریاچه چیتگر و در 3 مقطع دیگر در تقاطع با مسیر جریان سیلاب قرار دارد. آزادراه شهید فهمیده و بزرگراه لشکری نیز در تقاطع با مسیل دستواره و خان دانشگاه قرار دارند و نیز در غرب رودخانه چیتگر با مسیلهای سیلابی تلاقی دارند. پل واقع بر بزرگراه فتح در محل تلاقی با رودخانه وردآورد نیز ظرفیت و کشش سیلاب 50 ساله را نداشته و پهنه سیلابی قابلتوجهی در این محدوده شکل میگیرد که کاربریهای نظامی واقع در این بخش را درگیر سیل میکند. علاوهبراین موارد، بخشهایی از مناطق 21 و 22 در پهنههای سیلابی بارش 50 ساله قرار میگیرند که به عنوان مثال میتوان به شرایط ماندابی در حد فاصل بلوار دانشگاه و بوستان بانوان ریحانه چیتگر، سیلگرفتگی بخشی از مجتمع مسکونی چیتگر، شهرک شهید صیاد شیرازی، بلوار کرمانخودرو، مسجد امام حسین، بازار میوه و ترهبار فرهنگ، بخشی از شهرک دانشگاه شریف (محدوده برج سپیدار)، بلوار وردآورد و مرکز بهداشت وردآورد و برخی صنابع و کاربریهای تجاری و مسکونی اشاره کرد.
نتیجهگیری
در این پژوهش، پهنهبندی سیلاب شهری در مناطق فاقد شبکه کانالهای آب سطحی با استفاده از مدلسازی تلفیقی مفهومی و فیزیکپایه بارشرواناب در سطح حوضه آبریز انجام شد. مناطق 21 و 22 شهر تهران بهعنوان مطالعه موردی انتخاب شدند. پهنه سیلاب ازطریق کوپل مدلهای هیدرولوژیکیهیدرولیکی HEC-HMS و MIKE21 برای بارش 50 ساله در حالت وضع موجود منطقه استخراج شد. براساس نتایج پهنهبندی، در بارشهای حدی نظیر بارش 50 ساله، شریانهای ارتباطی مناطق 21 و 22 شهر تهران، شامل متروی تهران ـ کرج، بزرگراههای خرازی، همدانی، فهمیده، لشگری و فتح در برخی مقاطع دچار سیلگرفتگیهای شدید میشوند و انتظار میرود در چنین شرایطی، عملاً مسیر ارتباطی غرب و شهر تهران بهطور کامل مختل شود. کاربریهای متعددی نیز در پهنه سیل قرار میگیرد و شرایط ماندابی به دلیل عدم وجود شبکه جمعآوری آب سطحی در سراسر مناطق 21 و 22، باتوجهبه نتایج مدلسازی قابلپیشبینی است. از بعد کاربردی و عملیاتی، با عنایت به موارد مذکور و تابآوری پایین این مناطق در برابر سیل، توسعه شبکه جمعآوری آب سطحی با رویکردهای نوین طراحی براساس تابآوری پیشنهاد میشود. با عنایت به فراهم شدن ابزار پهنهبندی سیل در شهر تهران، پیشنهاد میشود پهنهبندی سیل 50 ساله، در شرایط توسعه شبکه (که مبنای ایمنسازی در برابر سیل 50 ساله بوده است) نیز انجام شود و میزان عملکرد طرح پیشنهادی در عبور ایمن سیل 50 ساله بررسی شود. در صورت وجود پهنه سیل در حالت توسعه طرح، این امکان فراهم میشود که طرحهای آتی قبل از اجرا، بازنگری شده و اصلاحات لازم بهمنظور ایمنسازی کامل مناطق 21 و 22 در برابر سیل 50 ساله انجام شود.
از بعد فنی و علمی، باتوجهبه محدودیتهای موجود در مدلسازی و کمبود داده، پیشنهاد میشود در پژوهشهای آتی بهمنظور بالاتر بردن دقت نتایج، با جمعآوری اطلاعات فیزیوگرافی و هیدرولوژیکی ازطریق تصاویر ماهوارهای بهروز، مدلسازی هیدرولوژیکی بهصورت کاملاً فیزیکی انجام شود. در همین راستا، استفاده از مدلهای رقومیارتفاعی با قدرت تفکیک مکانی بالاتر نظیر محصولات ماهواره World View به بهبود نتایج پهنهبندی و قابلیت اطمینان بالاتر نتایج منجر خواهد شد.
ملاحظات اخلاقی
پیروی از اصول اخلاق پژوهش
این مقاله نمونههای انسانی و حیوانی نداشته است. برایناساس نیاز به کد اخلاق نبود و تمام قوانین اخلاق در پژوهش رعایت شده است.
حامی مالی
این پژوهش با حمایت مادی و معنوی سازمان پیشگیری و مدیریت بحران شهر تهران انجام شده و از نتایج مطالعات طرح پژوهشی با عنوان «پهنهبندی خطر و تدوین برنامه اختصاصی سیل شهر تهران» بهره گرفته است.
مشارکت نویسندگان
بصری سازی و نرم افزار: جعفر یزدی و محمد شاهسوندی؛ مفهوم سازی، روش شناسی، اعتبارسنجی، تحلیل رسمی، تحقیق، منابع، جمع آوری داده ها، نگارش پیش نویس اصلی، بررسی، ویرایش و نظارت: جعفر یزدی؛ مدیریت پروژه، علی نصیری، اسماعیل سلیمی و مرتضی دلفان آذری؛ جذب سرمایه: علی نصیری، اسماعیل سلیمی و مرتضی دلفان آذری.
تعارض منافع
بنابر اظهار نویسندگان این مقاله تعارض منافع ندارد.
Reference
Bisht, D. S., Chatterjee, C., Kalakoti, Sh., Upadhyay, P., Sahoo, M., & Panda, A. (2016). Modeling urban floods and drainage using SWMM and MIKE URBAN: A case study. Natural Hazards, 84, 749–776. [DOI:10.1007/s11069-016-2455-1]
Carr, R. S., & Smith, G. P. (2007). Linking of 2D and Pipe hydraulic models at fine spatial scales. Water Practice and Technology, 2(2), wpt2007038. [DOI:10.2166/wpt.2007.038]
Chow, V. T., Maidment, D. R., & Mays, L.W. (1988). Applied hydrology. New York: McGraw-Hill. [Link]
Fereshtehpour, M., Esmaeilzadeh, M., Alipour, R. S., & Burian, S. J. (2024). Impacts of DEM type and resolution on deep learning-based flood inundation mapping. Earth Science Informatics, 17(2), 1125-1145. [Link]
DHI. (2014). MIKE21, Reference Manual. Denmar,: Danish Hydraulic Institute Inc. [Link]
Dong, B., Xia, J., Zhou, M., Li, Q., Ahmadian, R., & Falconer, R. A. (2022). Integrated modeling of 2D urban surface and 1D sewer hydrodynamic processes and flood risk assessment of people and vehicles. The Science of the Total Environment, 827, 154098. [DOI:10.1016/j.scitotenv.2022.154098] [PMID]
Sun, S. K., Song, J. F., Wang, F. F., Wu, P. T., & Wang, Y. B. (2019). Evaluating the impacts of socio-economic factors on regional grain virtual water flows in China using a structural equation modeling approach. Journal of Hydrology, 571, 132-141. [DOI:10.1016/j.jhydrol.2019.01.042]
FLO-2D Software, Inc. (2021). FLO-2D reference manual. Arizona: FLO-2D Software, Inc. [Link]
Atif, R. M., Siddiqui, M. H., & Almazroui, M. (2020). Near-real-time spatiotemporal analysis of convection and extreme rainfall leading to a flash flood using MSG-SEVIRI and TRMM data: A case study of a flash flood in Jeddah, Saudi Arabia on the November 25, 2009. Journal of Flood Risk Management, 13(3), e12611.[DOI:10.1111/jfr3.12611]
Hadian, M. R., & Zarati, A. R. (2009). [Numerical models of shallow waters and their application in river and coastal engineering (Persian)]. Tehran: Amir Kabir University of Technology Press. [Link]
Maghsoudi, N., & Kouchakzadeh, S. (2024). [Hydraulic of free surface flows (Persian)]. Tehran: University of Tehran Press. [Link]
Mays, L. W. (2005). Water resources engineering. New Jersey: John Wiley & Sons. [Link]
Yan, K., Di Baldassarre, G., & Solomatine, D. P. (2013). Exploring the potential of SRTM topographic data for flood inundation modelling under uncertainty. Journal of Hydroinformatics, 15(3), 849-861. [DOI:10.2166/hydro.2013.137]
Rossman, L. A. (2010). Storm water management model user’s manual, version 5.0 Cincinnati. Washington: United States Environmental Protection Agency. [Link]
Noh, S. J., Lee, J. H., Lee, S., Kawaike, K., & Seo, D. J. (2018). Hyper-resolution 1D-2D urban flood modelling using LiDAR data and hybrid parallelization. Environmental Modelling & Software, 103, 131-145. [DOI:10.1016/j.envsoft.2018.02.008]
Butters, O., Robson, C., McClean, F., Glenis, V., Virgo, J., & Ford, A., et al. (2025). An open framework for analysing future flood risk in urban areas. Environmental Modelling & Software, 185, 106302. [DOI:10.1016/j.envsoft.2024.1063027]
Tehran Engineering & Technical Consulting Organization (TETCO). (2011). [Comprehensive plan for surface water management in Tehran: Volume 2, Part 2, “Urban hydrology report” (Persian)]. Tehran: Technical and Engineering Consulting Organization of Tehran.
Vojinovic, Z., & Tutulic, D. (2009). On the use of 1D and coupled 1D-2D modelling approaches for assessment of flood damage in urban areas. Urban Water Journal, 6(3), 183-199.[DOI:10.1080/15730620802566877]
Vozinaki, A. E. K., Kourgialas, N. N., & Karatzas, G. P. (2012). Estimation of agricultural flood loss in the Koiliaris river basin in Crete, Greece. EuropeanWater, 39, 53-63. [Link]
Water Engineering Research Institute. (2021). [Flood risk zoning studies in Tehran city, Western flood diversion channel of Tehran, from Goftogoo Park to the connection with Kan River (Persian)]. Tehran: Tarbiat Modares University.
Yang, L., Li, J., Kang, A., Li, Sh., & Feng, P. (2020). The effect of nonstationarity in rainfall on urban flooding based on coupling SWMM and MIKE21. Water Resources Management, 34, 1535-1551. [DOI:10.1007/s11269-020-02522-7]
Yazdi, J. (2018). Improving urban drainage systems resiliency against unexpected Blockages: A probabilistic approach. Water Resources Management, 32, 4561-4573. [DOI:10.1007/s11269-018-2069-3]
Zhang, W., Zhang, X., Liu, Y., Tang, W., Xu, J., & Fu, Z. (2020). Assessment of Flood Inundation by Coupled 1D/2D Hydrodynamic Modeling: A Case Study in Mountainous Watersheds along the Coast of Southeast China. Water, 12(3), 822. [DOI:10.3390/w12030822]
Zandsalimi, Z., Feizabadi, S., Yazdi, J., & Salehi Neyshabouri, S.A.A. (2024). Evaluating the Impact of Digital Elevation Models on Urban Flood Modeling: A comprehensive analysis of flood inundation, hazard mapping, and damage estimation. Water Resources Management, 38, 4243-4268. [Link]